• Facebook
  • Instagram
  • Twitter
April 13, 2026
Tewksbury Public Schools
  • Home
  • Schools
    • Tewksbury Memorial High School
    • John W. Wynn Middle School
    • John F. Ryan Elementary
    • Loella F. Dewing Elementary
    • Center Elementary
    • Heath Brook Elementary
    • Integrated Preschool Program
  • About Us
    • Departments & Programs
      • Business Office
      • Curriculum
        • MCAS Testing Schedule & MCAS Overview Presentation
        • Curriculum by Grade Level
        • District Curriculum Accommodation Plan (DCAP)
        • K-4 Standard Based Report Card
        • MCAS Information & District Report Card
      • Food & Nutrition Services
      • Health & Wellness
      • Human Resources (Employment Opportunities)
      • School Committee
      • Special Education
      • Student & Family Support ( Central Registration)
      • Superintendent’s Office
      • Staff Directory
      • Technology
    • Compliance
      • Bullying Policy & Reporting
      • Civil Rights Notification
      • Title I Information
      • Tiered Focused Monitoring
      • Title IX: Non-Discrimination Policies/ IX Compliance Officer
  • Resources
    • For Parents and Students
      • Acceptable Use Procedures (Technology)
      • Aspen
      • Attendance and Absences
      • Bus Routes – Bus Routes
      • Calendar – TPS School Calendar
      • Chain of Communication
      • Closings, Delays, Emergencies & Drills – Quick Reference Guides:
      • FERPA Notice
      • Homeschooling: Request to Homeschool Form & Information
      • Library Online Catalog
      • School Safety
      • School Supply Lists
      • Seal of Biliteracy
      • Social Host Law
      • Street Listings K-1
      • Student Insurance Brochure 2025-2026
      • Translation / Interpretation Guidance
    • Forms
      • Consent & Release Form
      • CORI Form
      • Facility Use Form
      • Fundraiser Form
    • TPS Community Partners
      • AlphaBEST Education
      • Community Pass
      • TPS Pathways Website
      • TPS Nurses’ Website
      • Tewksbury School Facilites Study Committee
  • District News
    • District Newsletter Archive
  • Calendars
  • Search
  • Menu Menu

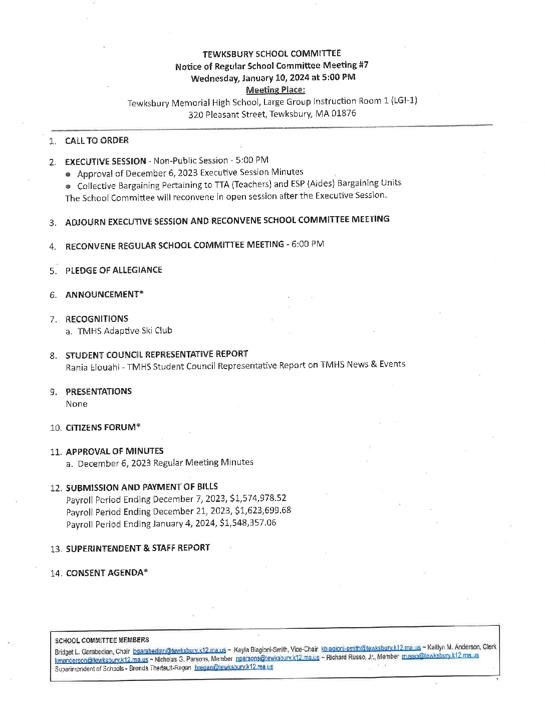
1-10-2024 SCAP (r)

You are here: Home1 / 2 / Departments & Programs3 / School Committee4 / Agendas, Meeting Recordings & Minutes5 / 1-10-2024 SCAP (r)

  • Home
  • SUPERINTENDENT’S OFFICE
    • District Comprehensive Review & Entry Findings
  • Special Education
    • Special Education Family Information
      • Family Engagement Activities
        • 2020-2021 SpEd SC Presentation August 19, 2020
      • New Massachusetts IEP Information
    • Special Education Staff
    • Student Services & Special Education Resources
    • TSEPAC
  • Student & Family Support
  • Business Office
  • School Committee
    • Agendas, Meeting Recordings & Minutes
    • Goals & Roles & Responsibilities
    • Policy Manual
    • Recognition by School Committee
    • School Committee Collective Bargaining Updates
  • Food Services
  • Health & Wellness
  • Human Resources (Employment Opportunities)

Social

Follow us on facebook

Recent Posts

  • Superintendent Search Community Update
  • 2026-2027 Preschool Presentation
  • FY27 Budget Overview & Video Summary
  • DESE Office of Language Acquisition Review
  • 2025-2026 District Strategic Plan

DOWNLOAD THE APP:

Button that reads "Get it on Google Play"
Button that reads "Download on the App Store"

Schools

  • Memorial High School
  • John W. Wynn Middle School
  • John F. Ryan Elementary
  • Loella F. Dewing Elementary
  • Center Elementary
  • Heath Brook Elementary
  • Integrated Preschool

District

  • School Committee
  • District Goals and School Improvement Plans (SIPs)
  • Vision of a Learner
  • Employment Opportunities
  • Tewksbury School Facilities Study Committee

Contact

Tewksbury Public Schools
139 Pleasant Street
Tewksbury, MA 01876
(978) 640-7800
Fax: (978) 640-7878.

© Copyright - Tewksbury Public Schools - Privacy Policy - Accessibility | Powered by STACKR Solutions for Schools & Districts
Scroll to top